About ZAX
Contact Us
Gunn Oscillators
Mixers
Antennas
Corrugated Horns
Calibration Loads & Targets
PIN Switches
Integrated Subsystems
Spaceview Technologies Inc.
Reference Materials
ZAX Millimeter Wave Corp.
ZAX makes millimeter wave systems and components for satellites and other venues
ZAX Millimeter Wave Corporation
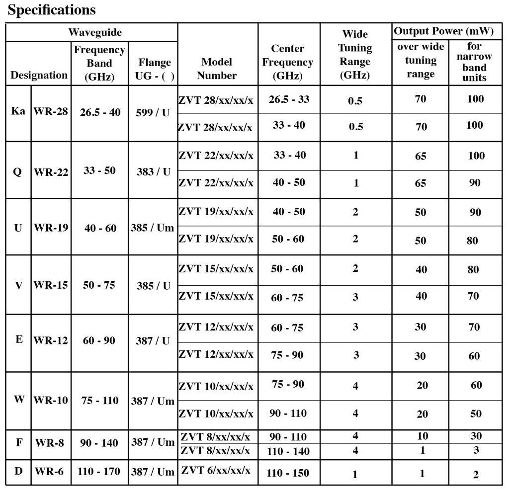
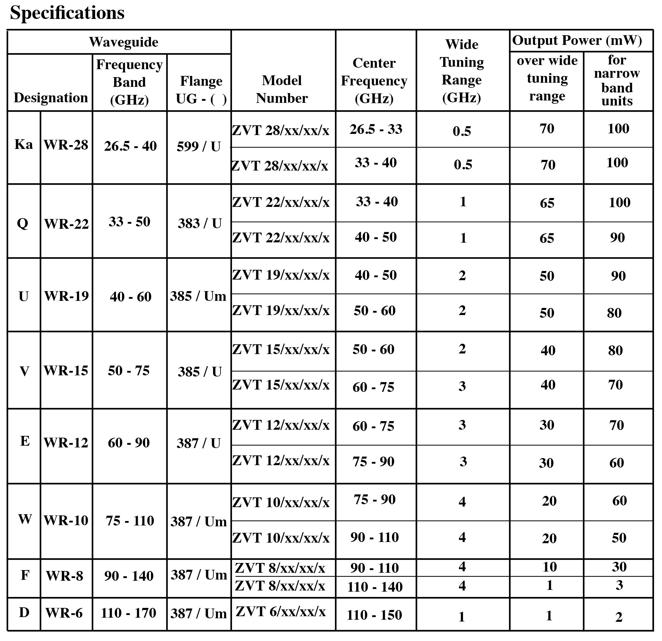
Varactor Tuned (ZVT) Series
Varactor Tuned Gunn Oscillators (ZVT Series)
Return to Gunn Oscillator Page
Return to Products Catalog
wp_footer(); ?>